当前位置:肿瘤瞭望>资讯>快讯>正文

妇瘤前沿|新辅助化疗使用率及医院手术量与卵巢癌术后死亡率和生存期的关系

作者:肿瘤瞭望   日期:2025/8/20 12:50:43  浏览量:4097

肿瘤瞭望版权所有,谢绝任何形式转载,侵犯版权者必予法律追究。

近期,美国麻省总医院的研究人员探索了晚期卵巢癌患者中,新辅助化疗使用率及医院手术量与肿瘤细胞减灭术后的死亡率和生存期的关系。该研究发表于JAMA Network Open(图1)。本文特整理研究主要内容,以期为我国妇科肿瘤临床工作者提供参考。

编者按:近期,美国麻省总医院的研究人员探索了晚期卵巢癌患者中,新辅助化疗使用率及医院手术量与肿瘤细胞减灭术后的死亡率和生存期的关系。该研究发表于JAMA Network Open(图1)。本文特整理研究主要内容,以期为我国妇科肿瘤临床工作者提供参考。
 
图1.研究截图
 
研究背景
 
2024年,美国约有19 600名女性确诊卵巢癌,其中多数为晚期(Ⅲ/Ⅳ期)上皮性卵巢癌。研究证实,在低手术量中心接受肿瘤细胞减灭术的患者围手术期死亡率显著升高。随机对照试验表明:与直接手术相比,新辅助化疗后行间歇性肿瘤细胞减灭术可降低手术复杂性、术后并发症及死亡率,且不影响长期生存。基于并发症减少带来的成本节约,新辅助化疗方案可能更具经济效益。
 
尽管已证实低手术量中心晚期卵巢癌围手术期死亡率更高,但新辅助化疗使用率如何影响该关联仍属未知。此类中心抢救并发症的能力有限,新辅助化疗的高使用率或许更为重要。阐明新辅助化疗使用率与医院手术量对治疗结局的关联,有助于患者和临床医生针对特定治疗环境,基于证据权衡不同治疗策略的风险与获益。
 
本研究旨在量化分析美国各癌症诊疗机构中,新辅助化疗使用率、术后90天死亡率及长期生存率与卵巢癌手术量级的关联性。核心假设为:在低手术量中心提高新辅助化疗使用率,较高手术量中心可显著降低90天死亡率。
 
研究方法
 
本研究纳入美国国家癌症数据库中2010年1月至2019年12月确诊的国际妇产科联盟(FIGO)Ⅲ~Ⅳ期上皮性卵巢癌患者,组织学类型包括浆液性、黏液性、子宫内膜样、透明细胞及其他腺癌。排除标准为:未经组织学确诊者、无随访记录者、未在报告中心治疗者、化疗-手术顺序不明者。在术后死亡率分析中,仅纳入接受肿瘤细胞减灭术且已知90天生存状态的患者。为规避时间偏倚,长期生存分析涵盖所有患者(无论是否接受手术)。
 
本研究主要结局指标为:肿瘤细胞减灭术后90天内死亡率及诊断后60个月内的生存时间。所有患者的生存状态及诊断至末次随访时间间隔均确认至2019年末。

研究结果
 
2010年至2019年间,70 707例晚期上皮性卵巢癌患者在1333家癌症中心接受治疗,其中62 215例(87.9%)患者接受了手术治疗。与高手术量中心相比,低手术量中心收治的患者年龄更大(确诊平均年龄63.8±12.2岁vs.62.6±11.9岁),Ⅳ期患者比例更高(24 157例中占37.2%vs.22 455例中占32.0%),非浆液性组织学类型更多(黏液性癌2.3%vs.1.5%;子宫内膜样癌3.8%vs.2.9%)。
 
治疗策略上,低手术量中心新辅助化疗使用率为42.6%(10 284例),显著低于高手术量中心(43.4%,9749例)但高于中手术量中心(37.6%,P<0.001);手术实施率则明显偏低(83.3%vs.中手术量中心90.7%和高手术量中心90.1%,P<0.001),上述差异均具统计学显著性。
 
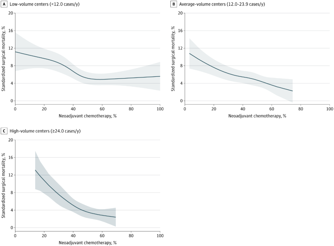
研究结果展示了接受手术患者的90天手术死亡率与医疗中心新辅助化疗使用率及年均手术量级的关系(图2)。90天手术死亡率随新辅助化疗使用率上升和医院手术量增加呈下降趋势,同时具备高新辅助化疗使用率与高手术量的中心90天死亡率最低。然而在低手术量医院中,当新辅助化疗使用率超过某一临界值后,继续提高使用率似乎不再显著降低死亡率。
 
图2.90天手术死亡率与新辅助化疗使用率及年均手术量级的关系
 
在高手术量且高化疗使用率中心治疗的患者,其60个月预期生存期较同级别低化疗使用率中心患者延长4.0个月。但在低或中手术量中心,高/低化疗使用率组的60个月生存期无显著差异(表1)。
 
表1.不同手术量中心新辅助化疗使用率对卵巢癌患者60个月标准化预期生存期的影响
 
讨论
 
本研究假设在低手术量中心,提高新辅助化疗使用率可最大程度降低晚期卵巢癌患者术后死亡率。然而实际发现:高手术量中心提高化疗使用率时手术死亡率降幅最大,且患者60个月预期生存期显著延长。低手术量中心提高化疗使用率也与90天手术死亡率降低有关,但其最高化疗使用率组的死亡率仍高于高手术量中心。
 
此结果与既往随机试验及观察性研究一致:新辅助化疗可改善术后并发症及死亡率,显著减少术中出血、ICU入住、再住院及围手术期死亡。但新辅助化疗在高手术量中心的死亡率降幅更显著,可能与以下因素相关:高手术量中心更广泛采用加速康复外科(ERAS)等综合措施;低手术量中心患者脆弱性更高(高龄/晚期患者比例更高),即使接受间歇性手术仍面临更高风险。
 
值得注意的是,与部分观察性研究认为新辅助化疗会缩短生存期的结论相反,本研究发现:在高手术量中心,高新辅助化疗使用率可带来小幅生存获益。

优势和局限性
 
本研究的核心优势在于将医院手术量级作为独立暴露变量纳入分析,而非仅作为分层因素,从而更精准揭示不同手术量级下新辅助化疗使用率与生存结局的关联。然而本研究存在以下局限性:
 
由于研究属回顾性设计,存在无法测量的混杂因素,包括疾病实际负荷、患者健康功能状态及医院资源配置差异等,这些因素可能影响卵巢癌患者的生存结局。研究缺乏患者接受或未接受新辅助化疗的具体决策依据,以及治疗后的疾病进展与并发症细节数据。尽管美国国家癌症数据库覆盖全美70%新发癌症病例,但未纳入非癌症委员会认证机构的患者数据,可能限制研究结果的普适性。此外,选择偏倚问题需警惕:新辅助化疗后死亡或被认为不适合手术的患者被排除分析,可能导致生存率评估偏倚。
 
研究结论
 
在这项横断面研究中,新辅助化疗高使用率与不同手术量级医疗中心的90天手术死亡率改善均存在显著关联。然而,晚期卵巢癌患者的最低90天手术死亡率与最长60个月生存期出现在同时具备高手术量级与高化疗使用率的中心。
 
参考文献:Abel MK,Mazina V,Bregar AJ,et al.Neoadjuvant Chemotherapy,Case Volume,and Mortality in Advanced Ovarian Cancer.JAMA Netw Open.2025;8(7):e2523434.doi:10.1001/jamanetworkopen.2025.23434

本内容仅供医学专业人士参考


卵巢癌

分享到: 更多